Автомобильный спецсигнал своими руками.
Любому автомобилисту известно, что использование устройств спец. назначения (например – спецсигналы типа СГУ, стробоскопы и т.п.) является незаконным и при остановке органами полиции можете быть оштрафованы на кругленькую сумму, плюс конфискация запрещенных приборов
Поэтому статья подготовлена для ознакомительных целей – обратите внимание на этот факт
Итак, чем отличается стробоскоп от мигалки? по идее ничем, только типом мигания светоизлучающих диодов (ну или лампочек). Мигалку можно собрать за 5 минут с применением обычного мультивибратора, но это будет простой мигалкой, а не стробоскопом, которые устанавливаются на машины гос. служб. Но к сведению зрителя – стробоскоп это просто устройство, которые вырабатывает яркие световые вспышки, так,что простую мигалку тоже можно назвать стробоскопом.
Как же собрать стробоскоп, принцип работы которого схож с мигалками, которые на полицейских машинах? Простым мультивибратором тут не обойтись, хотя наша конструкция по уровню сложности не сильно отличается от обычного мультивибратора.
Нам для начала нужен одноканальный генератор импульсов, он может быть любым, можно на базе мультивибратора или что еще проще – на основе легендарного таймера 555
Таймер подключается как низкочастотный генератор прямоугольных импульсов, частоту этих импульсов можно будет регулировать переменным резистором.
Выходные импульсы с микросхемы поступают на вход счетчика делителя. А затем начинается процесс “считывания”. Выходы счетчика переключаются поочередно, когда один из выходов открыт, все остальные закрыты. Схема устройства.
Выходы микросхемы счетчика согласованы диодами. Три выхода подключены как один, делано это для того, чтобы получить тройную последовательность вспышек для каждого светодиода. Поскольку планируется подключение мощных светодиодов, выход был усилен дополнительным транзистором (в случае каждого выходе).
Таким образом, мы можем подключить даже довольно мощные нагрузки, к примеру лампы накаливания (12 Вольт), но с учетом того, что основная мощность будет рассеиваться на транзисторах и последние будут перегреваться и довольно сильно, поэтому подобрать транзисторы с током 10 и более Ампер и установить их на теплоотвод.
Диоды самые обычные – 1n4148 маломощные кремниевые выпрямительные диоды. Работает схема просто – таймер вырабатывает низкочастотные импульсы, которые поступают на вход счетчика. Каждый импульс будет последовательно открывать и закрывать выводы с счетчика, таким образом получаются мигания, а диодная развязка сделана для того, чтобы получить несколько миганий одного светодиода. К примеру – один из светодиодов будет мигать три раза, затем тухнет, затем тоже самое происходит со вторым.
Вторая схема работает точно по такому же принципу, только тут светодиоды подключены ко всем выходам микросхемы. Таким образом у нас получается эффект бегущей строки.
Светодиоды самые обычные (только не сборка), но при желании можно управлять нагрузками большой мощности, добавив выходные транзисторы в качестве усиливающего элемента, точно так, как это сделано в первой конструкции, ниже приведена схема бегущей строки.
Печатная плата для первой схемы доступна для скачивания здесь. Удачи!
Особенности и характеристики схем подключения ламп
Способ и порядок подключения лампы зависит от ее вида. Методы, используемые для лампочек накаливания, не подойдут для галогенок, люминесцентных светильников или светодиодов.
Параллельной
При использовании схемы параллельного подключения источники света подключаются к фазе и нулю. Например, если нужно соединить 2 лампочки, скручиваются их питающие провода
Важно, чтобы сечение соответствовало нагрузке. Напряжение на всех светильниках одинаковое, они горят с яркостью, установленной производителем
Перегорание отдельного элемента не влияет на функциональность остальных.
Параллельное подключение может быть:
- лучевое – на каждый светильник отдельный кабель;
-
шлейфное – фаза и ноль сначала идут на первый осветительный прибор, потом часть кабеля идет в остальные (кроме последнего, к которому подключаются две части).
При использовании параллельной лучевой модели перегорание одного элемента не мешает работе остальных. Перед тем, как выбрать шлейфную модель, необходимо учесть, что нарушение одного соединения выведет из строя элементы, расположенные после него. Но проблема решается быстро за счет легкого определения проблемного места.
При подключении галогенных источников с трансформатором необходимо учесть, что они присоединяются к вторичной обмотке преобразователя через клеммные колодки.
Главный недостаток люминесцентных ламп – мерцание. От него избавляет пускорегулирующая аппаратура, но она стоит дорого. Для снижения пульсации применяется специальная схема для двух светильников со сдвигом фазы на одном из них. Две лампочки соединяются параллельно, к одной подключается конденсатор, сдвигающий фазу.
Индикаторы-пробники для поиска фазы и ноля
Прибор, предназначенный для поиска ноля и фазы, называется индикатором. Широкое применение получили световые индикаторы для определения фазы на неоновых лампочках. Низкая цена, высокая надежность, долгий срок службы. В последнее время появились индикаторы и на светодиодах. Они дороже и дополнительно требуют элементов питания.
На неоновой лампочке
Представляет собой диэлектрический корпус, внутри которого находятся резистор и неоновая лампочка. Касаясь по очереди к проводам электропроводки отверточным концом индикатора, Вы по свечению неоновой лампочки находите фазу. Если лампочка засветилась от прикосновения, значит, это фазный провод. Если не светится, значит, это нулевой провод.
Корпуса индикаторов бывают разных форм, цветов, но начинка у всех одинаковая. Для исключения случайного замыкания, советую на стержень отвертки надеть трубку из изоляционного материала. Не следует индикатором откручивать или затягивать винты с большим усилием. Корпус индикатора сделан из мягкой пластмассы, стержень отвертки запрессован неглубоко и при большой нагрузке корпус ломается.
Как сделать светодиодную мигалку своими руками
Существует множество схем, с помощью которых можно заставить мигать светодиод. Мигающие устройства можно изготовить как из отдельных радиодеталей, так и на основе различных микросхем. Сначала мы рассмотрим схему мигалки мультивибратора на двух транзисторах. Для ее сборки подойдут самые ходовые детали. Их можно приобрести в магазине радиодеталей или «добыть» из отживших свой срок телевизоров, радиоприемников и другой радиоаппаратуры. Также во многих интернет магазинах можно купить наборы деталей для сборки подобных схем led мигалок.
На рисунке изображена схема мигалки мультивибратора, состоящая всего из девяти деталей. Для ее сборки потребуются:
- два резистора по 6.8 – 15 кОм;
- два резистора имеющие сопротивление 470 – 680 Ом;
- два маломощных транзистора имеющие структуру n-p-n, например КТ315 Б;
- два электролитических конденсатора емкостью 47 –100 мкФ
- один маломощный светодиод любого цвета, например красный.
Не обязательно, чтобы парные детали, например резисторы R2 и R3, имели одинаковую величину. Небольшой разброс номиналов практически не сказывается на работе мультивибратора. Также данная схема мигалки на светодиодах не критична к напряжению питания. Она уверенно работает в диапазоне напряжений от 3 до 12 вольт.
Схема мигалки мультивибратора работает следующим образом. В момент подачи на схему питания, всегда один из транзисторов окажется открытым чуть больше чем другой. Причиной может служить, например, чуть больший коэффициент передачи тока. Пусть первоначально больше открылся транзистор Т2. Тогда через его базу и резистор R1 потечет ток заряда конденсатора С1. Транзистор Т2 будет находиться в открытом состоянии и через R4 будет протекать его ток коллектора. На плюсовой обкладке конденсатора С2, присоединенной к коллектору Т2, будет низкое напряжение и он заряжаться не будет. По мере заряда С1 базовый ток Т2 будет уменьшаться, а напряжение на коллекторе расти. В какой-то момент это напряжение станет таким, что потечет ток заряда конденсатора C2 и транзистор Т3 начнет открываться. С1 начнет разряжаться через транзистор Т3 и резистор R2. Падение напряжения на R2 надежно закроет Т2. В это время через открытый транзистор Т3 и резистор R1 будет течь ток и светодиод LED1 будет светиться. В дальнейшем циклы заряда-разряда конденсаторов будут повторяться попеременно.
Если посмотреть осциллограммы на коллекторах транзисторов, то они будут иметь вид прямоугольных импульсов.
Когда ширина (длительность) прямоугольных импульсов равна расстоянию между ними, тогда говорят, что сигнал имеет форму меандра. Снимая осциллограммы с коллекторов обоих транзисторов одновременно, можно заметить, что они всегда находятся в противофазе. Длительность импульсов и время между их повторениями напрямую зависят от произведений R2C2 и R3C1. Меняя соотношение произведений можно изменять длительность и частоту вспышек светодиода.
Для сборки схемы мигающего светодиода понадобятся паяльник, припой и флюс. В качестве флюса можно использовать канифоль или жидкий флюс для пайки, продающийся в магазинах. Перед сборкой конструкции необходимо тщательно зачистить и залудить выводы радиодеталей. Выводы транзисторов и светодиода нужно соединять в соответствии с их назначением. Также необходимо соблюдать полярность включения электролитических конденсаторов. Маркировка и назначение выводов транзисторов КТ315 показаны на фото.
Проще всего определить катод светодиода, рассматривая прибор на просвет. Катодом является электрод с большей площадью. Минусовой вывод «электролита» обычно помечен белой полосой на корпусе прибора.
В зависимости от задач, которые ставит перед собой радиолюбитель, схему мигалки можно собрать «навесу», соединяя выводы радиодеталей между собой с помощью отрезков тонкого провода. В этом случае может получиться конструкция наподобие той, что показана ниже на фото.
Собираем мигалку «на коленке»
Если нужно собрать мигалку для последующего применения, то монтаж можно выполнить на куске жесткого картона или изготовить печатную плату из текстолита.
Как подключить светодиод к 220 В с помощью резистора
Для большей наглядности изобразим расчетную схему.

Такая схема очень распространена в работы электротехнических устройств, например, подсветки выключателя или кнопки электрического чайника. Главным достоинством данной схемы является ее простота, а отсюда и надежность.
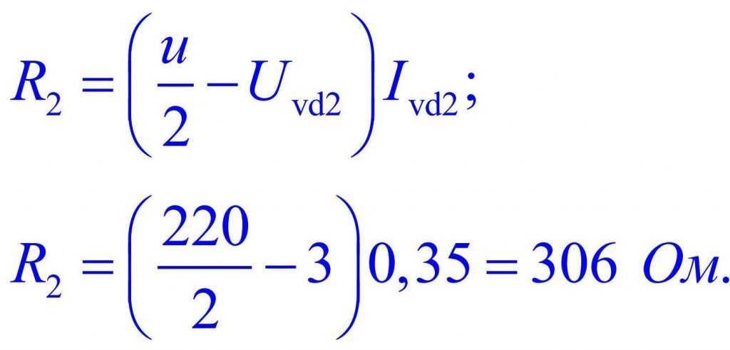
С целью сравнения полученных результатов возьмем два светодиода. Один индикаторного типа, а второй более мощный.
Определим сопротивление R1, необходимое для первого светодиода:

Сетевое напряжение делим на два по уже указанной выше причине.
Мощность рассеивания резистор равна:

Принимаем 2 ватта, поскольку такой номинал является ближайшим в сторону увеличения из стандартного ряда мощностей.
Теперь определим сопротивление резистора, соединенного последовательно со вторым светодиодом:

Мощность рассеивания равна:

Резисторы с такой мощностью рассеивания имеют значительные размеры и немалую стоимость, поэтому не рационально их применение в цепи с мощными светодиодами. Более эффективным будет замена его конденсатором.
Для защиты полупроводникового прибора встречно-параллельно подсоединяют диод.

Его назначение состоит в следующем. В проводящий полупериод на светодиоде падает напряжения порядка 2…3 В. В не проводящий полупериод он заперт и к его выводам прикладывается обратное полное действующее напряжение 220 В, амплитуда которого достигает 310 В. Поэтому существует вероятность пробоя полупроводникового прибора. Однако если создать путь для протекания тока в этот непроводящий полупериод времени, то снизится амплитуда опасного обратного напряжения. Именно это достигается за счет применения шунтирующего диода.
Кстати, вместо него можно применять еще один светодиод, желательно со схожими параметрами.

Визуально нам будет казаться, что оба они светят все время, но на самом деле они мерцают с частотой 50 Гц. Причем, когда первый светит, второй гаснет и наоборот, т.е. работают в противофазе.
В этом случае необходимо учесть, что через резистор ток протекает в оба полупериода времени, поэтому его сопротивление нужно снизить вдвое. Далее в последующих расчетах мы будем пользоваться схемой без шунтирующего диода.
Что такое указатель напряжения?
Это прибор (средства защиты в электроустановках) для определения наличия или отсутствия напряжения на токоведущих частях. Таких как провода, шины, контактные соединения и т п.
Каждый электрик должен иметь свой личный указатель, но иногда приходится сталкиваться с тем, что на предприятии не закупают в нужный срок всех необходимых инструментов и материалов. Со мной недавно так и было, пришел, уже вроде надо самостоятельно что-то делать, а инструмента для личного пользования нет, даже инструмента! Что тут говорить о приборах…
Ну вот, оказалось, что в составе электриков есть электронщик, который умеет сам собирать указатели для напряжения. Посмотрел на прибор, попробовал на контакт, отлично работает. Решил под его руководством собрать себе такой же.
Вообще, советую всем, если осваиваете что-то новое, прислушивайтесь к советам тех людей, кто дает советы из своей практики, а не читал или слышал где-то что-то.
Евгений Васильевич имя электрика, который меня научил этому. Вряд-ли он прочитает эту статью, но передаю большой респект этому человеку. 74 года сейчас ему. У всех электриков на заводе есть его приборы, для проверки напряжения. Итак, схема, фото.
Для того чтобы собрать указатель напряжения будем использовать:
- Фольгированный текстолит
- Кабель канал
- Полупроводниковый диод
- Светодиоды
- Сопротивления — резисторы.
- Стабилитрон – Д 814 А
- Диоды
- Электролитический конденсатор — 2200 микрофарад, 25 вольт
Не уверен, что все знают весь список компонентов, так как сам в первый раз столкнулся с некоторыми, но они нужны. Можно также добавить динамик, для звукового сигнала. В моей схеме нет динамика.
Также потребуется тестер, омметр, чтобы знать как устанавливать светодиоды, которые пропускают ток только в одном направлении, это необходимо для правильной работы схемы.
Итак, приступаем к сборке! Берем фольгированный текстолит, вырезаем на нем островки, делаем плату, как показано на моем фото:
Это можно сделать с помощью обычного ножа. Думаю понятно, для чего мы вырезаем так называемые островки. На каждом, свой компонент схемы. Далее, нужно облудить поверхность. Тоесть нанести слой припоя (олово) на каждый. Приступаем к установке светодиодов и компонентов по схемам.
После сборки, схема устанавливается в кабель-канал. Закрепить ее там вы можете любым способом, хоть приклеить ) главное не повредить схему. Уложили в кабель канал, проплавили или вырезали отверстия в крышке, для светодиодов, вывели удобные щупы с помощью проводов, все. Можете нарисовать свой бренд. Так как это ваша продукция
Схема указателя напряжения может быть не понятна новичкам, но если вы соберете все указанные компоненты, думаю можно и по фото ориентироваться.
Хочу заметить, что самодельный указатель напряжения запрещен правилами, из-за него я не сдал, с первого раза, экзамен электрика, почитайте.
Указатели должны быть сертифицирован и пройти поверку. Сейчас существует много магазинов, где вы без труда сможете купить указатель напряжения, хороший или плохой. Сделать выбор Вам поможет вот эта статья. Не скупитесь, выбирайте хорошие.
Интересные записи:
- Фоторепортаж как заменить вилку
- Управление двигателем с 2 мест, схема
- Монтаж большой опоры ЛЭП, видео
- Скачать ПУЭ 7 издание бесплатно
Интересные новости:
1) Британцы делают топливо из воздуха!!! Инженеры британской компании Air Fuel Synthesis объявили, что могут получать бензин из воздуха. Верится? Представленный прототип, по словам его издателей, имеется с августа этого года (2012) и уже доказал, что справился со своей задачей. Разработчики говорят, что в течении двух лет построят первую электростанцию. Метод экологическо чист. Технология производства предусматривает извлечение углекислого газа из воздуха, водорода из воды. Затем с помощью реакции их превращают в метанол. Также, получить можно и бензин, и дизельное топливо, утверждают в компании. Электростанция обойдется в 5 миллионов фунтов стерлингов. Изобретателей засыпали критикой, по поводу того, сколько нужно затратить на это энергии, но они утверждают, что результаты уже превзошли угольные электростанции, эффективность которых – 70%.
2) Недавно получил допуск по электробезопасности, с 3-ей группой. Странно только, что оценка уд, на экзамене 4 ставили.
С информацией о присвоении групп по электробезопасности, вы так же можете ознакомиться на страницах блога. Также хочу добавить:
На этом все, оставайтесь на связи
Электроприборы работающие в диапазоне напряжений 100-110 вольт
Теперь рассмотрим другой вариант ситуации: купленный электроприбор рассчитан строго на напряжение 100-110 вольт. Это все крупные стационарные электроприборы, которые редко путешествуют между континентами. Кроме телевизоров со стиральными машинами сюда относятся небольшие, но мощные электроприборы: утюги, фены, плойки, электрочайники, тостеры, пылесосы.
Решить и эту проблему можно, но не так просто и дешево, как с адаптером. Вас выручит покупка специального прибора, т.н. понижающего трансформатора, который преобразовывает напряжение электросети 220 вольт, автоматически понижая его до необходимых прибору 110 вольт. После его покупки такого трансформатора никаких адаптеров покупать больше не надо, т.к. все необходимые разъемы уже есть на приборе.
Со стороны пользователя никаких настроек, кроме соединения вилок питания не требуется, просто придется каждый раз подключать имеющийся электроприбор к сети через данный трансформатор. Но момент, который необходимо обязательно учесть при покупке — это мощность вашего электроприбора.
Для мощных электроприборов нужен понижающий трансформатор большей мощности. Вам необходимо определить максимальную мощность вашего электроприбора, которая обычно указывается в Ваттах (ищите «W» или «Watt») и исходя из этой информации уже покупать понижающий трансформатор.
Габариты понижающих трансформаторов варьируют. Для электроприборов небольшой мощности – до 150-200 Ватт (принтер, ксерокс) он немного больше обычного блока питания, а для большей мощности, например 1000-3000 Ватт (фен, пылесос), его габариты могут достигать размеров двухлитрового пакета с соком.
Вот как выглядит стандартный понижающий трансформатор небольшой мощности
Обратите внимание, что на всех подобных приборах разъем под вилку американского стандарта уже присутствует. А вот понижающий трансформатор большей мощности, рассчитанный на целых два электроприбора. А вот понижающий трансформатор большей мощности, рассчитанный на целых два электроприбора
А вот понижающий трансформатор большей мощности, рассчитанный на целых два электроприбора.
Торговая марка «Штиль», Российская Федерация.
Обычно понижающие транформаторы найти в магазинах электротоваров непросто. Легче заказать через интернет, например с бесплатной доставкой, они есть в китайском Aliexpress или гипермаркете Amazon. Стоят от $20, для приборов мощностью до 200 Ватт. Чем мощнее подключаемый прибор, тем дороже трансформатор, например для приборов мощностью до 3000 Ватт он уже будет стоить от $100.
Также, как и в случае с адаптерами сильно экономить тут не стоит. Рискуете получить проблему.
И под конец ответы на несколько распространенных вопросов.
Нашел в США электроприборы рассчитанные на 220 вольт. Можно их покупать?
Да, такие товары и даже целые магазины встречаются. Конечно можете покупать. Обычно эти товары уже укомплектованы «евровилкой».
Если мощности понижающего трансформатора недостаточно?
В этом случае также стоит воздержаться от использования. Хорошо если есть встроенный предохранитель, который просто отключит электроприбор при нагревании. А если нет? Проверять не стоит.
Напряжение питания светодиодов
Несмотря на то что электрический параметр №1 для светодиода – это номинальный ток, часто для расчётов необходимо знать напряжение на его выводах. Под понятием «напряжение светодиода» понимают разницу потенциалов на p-n-переходе в открытом состоянии.
Оно является справочным параметром и вместе с другими характеристиками указывается в паспорте к полупроводниковому прибору. 3, 9 или 12 вольт… Часто в руки попадают экземпляры, о которых ничего не известно. Так как узнать падение напряжения на светодиоде?
Прекрасной подсказкой в этом случае является цвет свечения, внешняя форма и размеры полупроводникового прибора. Если корпус светодиода выполнен из прозрачного компаунда, то цвет его остаётся загадкой, разгадать которую поможет мультиметр.
Для этого переключатель цифрового тестера переводят в положение «проверка на обрыв» и щупами поочерёдно касаются выводов светодиода. У исправного элемента в прямом смещении будет наблюдаться небольшое свечение кристалла. Таким образом, можно сделать вывод не только о цвете свечения, но и о работоспособности полупроводникового прибора.
Светоизлучающие диоды разных цветов изготавливают из различных полупроводниковых материалов. Именно химический состав полупроводника во многом определяет напряжение питания светодиодов, точнее, падение напряжение на p-n-переходе.
В связи с тем, что в производстве кристаллов используют десятки химических соединений, точного напряжения для всех светодиодов одного цвета не существует. Однако есть определённый диапазон значений, которых зачастую достаточно для проведения предварительных расчетов элементов электронной цепи.
С одной стороны, размер и внешний вид корпуса не влияют на прямое напряжение светодиода. Но, с другой стороны. через линзу можно увидеть количество излучающих кристаллов, которые могут быть соединены последовательно. Слой люминофора в SMD светодиодах может скрывать целую цепочку из кристаллов.
Ярким примером является миниатюрные многокристальные светодиоды от компании Cree, падение напряжения на которых зачастую значительно превышает 3 вольта. В последние годы появились белые SMD светодиоды, в корпусе которых размещено 3 последовательно соединённых кристалла. Их часто можно встретить в китайских светодиодных лампах на 220 вольт.
Естественно убедиться в исправности LED-кристаллов в такой лампе при помощи мультиметра не удастся. Стандартная батарейка тестера выдаёт 9 В, а минимальное напряжение срабатывания трёхкристального белого светоизлучающего диода – 9,6 В. Также встречаются двухкристальная модификация с порогом срабатывания от 6 вольт.
Самые точные данные о прямом падении напряжения на светодиоде можно получить путём проведения практических измерений. Для этого понадобится регулируемый блок питания (БП) постоянного тока с напряжение от 0 до 12 вольт, вольтметр или мультиметр и резистор на 510 Ом (можно больше). Лабораторная схема для тестирования показана на рисунке.
Здесь всё просто: резистор ограничивает ток, а вольтметр отслеживает прямое напряжение светодиода. Плавно увеличивая напряжение от источника питания, наблюдают за ростом показаний на вольтметре. В момент достижения порога срабатывания светодиод начнёт излучать свет.
В какой-то момент яркость достигнет номинального значения, а показания вольтметра перестанут резко нарастать. Это означает, что p-n-переход открыт, и дальнейший прирост напряжения с выхода БП будет прикладываться только к резистору. Текущие показания на экране и будут номинальным прямым напряжением светодиода.
Если ещё продолжить наращивать питание схемы, то расти будет только ток через полупроводник, а разность потенциалов на нём изменится не более чем на 0,1-0,2 вольт. Чрезмерное превышение тока приведёт к перегреву кристалла и электрическому пробою p-n-перехода.
Если рабочее напряжение на светодиоде установилось около 1,9 вольт, но при этом свечение отсутствует, то возможно тестируется инфракрасный диод. Чтобы убедиться в этом, нужно направить поток излучения на включенную фотокамеру телефона. На экране должно появиться белое пятно.
В отсутствии регулируемого блока питания можно запитать светодиод «кроной» на 9 В. Также можно задействовать в измерениях сетевой адаптер на 3 или 9 вольт, который выдаёт выпрямленное стабилизированное напряжение, и пересчитать номинал сопротивления резистора.








































































